Peak fitting#

This tutorial demonstrates how one can analyze the current correlations and dynamic structure factor by fitting peaks to analytical expressions for a damped harmonic oscillators (DHO).

Damped harmonic oscillator#

The details of the DHO model can be found in the theoretical background section. In short, the position autocorrelation function of a DHO is given by \begin{equation*} F(t) = A \mathrm{e}^{- t/\tau} \left ( \cos{ \omega_e t} + \frac{1}{\tau\omega_e}\sin{ \omega_e t}\right ), \end{equation*} where \(\omega_e = \sqrt{\omega_0^2 - 1/\tau^2}\) is the angular eigenfrequency of the DHO. The Fourier transform of the above is \begin{equation*} S(\omega) = A\frac{2\Gamma \omega_0^2}{(\omega^2 - \omega_0^2)^2 + (\Gamma\omega)^2}, \end{equation*} where \(\omega_0\) is the natural angular frequency, \(\Gamma\) the damping (lifetime \(\tau=2/\Gamma\)) and \(A\) an arbitrary amplitude of the DHO.

Note that for current correlations (and their respective Fourier transforms) one must use the velocity autocorrelation function for the DHO, whereas for the intermediate scattering function (and dynamic structure factor) the position autocorrelation function is used.

Input data#

In this example we will analyze current correlation and dynamic structure factor data, which you can find in this zenodo repository. You can fetch these files, e.g., by executing the following cell.

[1]:
!wget https://zenodo.org/records/17858255/files/Al_fcc_size24_T900_qindex38.csv
!wget https://zenodo.org/records/17858255/files/BaZrO3_sample_T300_P0.0.npz
!wget https://zenodo.org/records/17858255/files/BaZrO3_sample_T300_P8.0.npz
!wget https://zenodo.org/records/17858255/files/BaZrO3_sample_T300_P15.6.npz
...
[2]:
import numpy as np
import pandas as pd
from dynasor import read_sample_from_npz
from dynasor.units import radians_per_fs_to_meV
from matplotlib import pyplot as plt
from scipy.optimize import curve_fit

Al FCC#

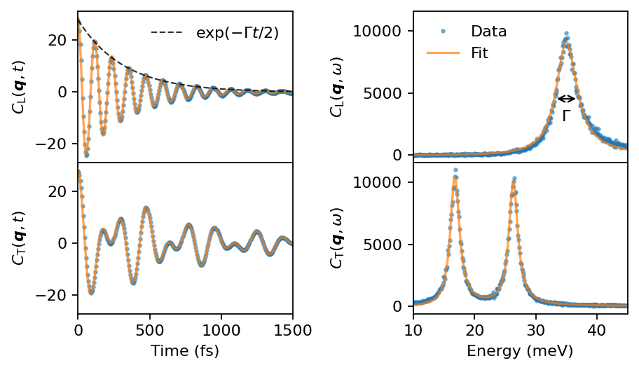
First, we will look at the current correlations, \(C_\text{L}(\boldsymbol{q}, t)\) and \(C_\text{T}(\boldsymbol{q}, t)\), in Al FCC at a temperature of T = 900 K and fit these with DHO models.

The full dispersion from current correlations is shown below, where blue corresponds to longitudinal modes and red to transverse modes.

current_heatmap.png

Here, we will only consider fitting the current correlations for one q-point, namely \(\boldsymbol{q}=[0.5, 0.5, 0.0]\) which sits between K and \(\Gamma\).

This data is stored as a pandas dataframe in a csv file, obtained via sample.to_dataframe(q_index) (see here), and can be read using pandas.

[3]:
# read data
alat = 4.05
df = pd.read_csv('Al_fcc_size24_T900_qindex38.csv')
display(df)

w = df.omega
t = df.time
Clqt = df.Clqt
Ctqt = df.Ctqt
Clqw = df.Clqw
Ctqw = df.Ctqw
omega time Clqt Clqt_X_X Clqw Clqw_X_X Ctqt Ctqt_X_X Ctqw Ctqw_X_X Fqt_coh Fqt_coh_X_X Sqw_coh Sqw_coh_X_X
0 0.000000 0 27.747023 27.747023 2.632250 2.632250 27.804061 27.804061 2.776075 2.776075 0.012116 0.012116 8.061254e-02 8.061254e-02
1 0.000157 5 26.699390 26.699390 3.549897 3.549897 27.373739 27.373739 34.885753 34.885753 0.011681 0.011681 1.425915e-01 1.425915e-01
2 0.000314 10 23.540678 23.540678 2.247025 2.247025 26.121036 26.121036 66.727080 66.727080 0.010453 0.010453 1.536352e-01 1.536352e-01
3 0.000471 15 18.562543 18.562543 3.889430 3.889430 24.101959 24.101959 48.080473 48.080473 0.008530 0.008530 8.122096e-02 8.122096e-02
4 0.000628 20 12.212002 12.212002 3.864050 3.864050 21.406585 21.406585 44.940541 44.940541 0.006063 0.006063 1.981069e-01 1.981069e-01
... ... ... ... ... ... ... ... ... ... ... ... ... ... ...
7996 1.256009 39980 -0.075647 -0.075647 -0.014731 -0.014731 0.051283 0.051283 -0.004358 -0.004358 0.000061 0.000061 3.456208e-06 3.456208e-06
7997 1.256166 39985 -0.062453 -0.062453 -0.012500 -0.012500 0.070549 0.070549 0.002383 0.002383 0.000052 0.000052 3.995259e-07 3.995259e-07
7998 1.256323 39990 -0.045894 -0.045894 -0.011104 -0.011104 0.086015 0.086015 0.005731 0.005731 0.000039 0.000039 3.718448e-06 3.718448e-06
7999 1.256480 39995 -0.024718 -0.024718 -0.004054 -0.004054 0.097392 0.097392 0.010066 0.010066 0.000022 0.000022 -2.560956e-06 -2.560956e-06
8000 1.256637 40000 0.001406 0.001406 -0.002088 -0.002088 0.105129 0.105129 -0.001084 -0.001084 0.000003 0.000003 -3.734499e-06 -3.734499e-06

8001 rows × 14 columns

First, we fit the data to a DHO in the time domain, although it could just as well be done in the frequency domain. The fitting can be accomplished in many ways, but here we simply use a least-square fit via SciPy’s curve_fit function. It is important to select some reasonable starting parameters in order to make the fit converge to a good solution. Note that while the fit is carried out in time domain, the resulting fit parameters (\(\omega_0, \Gamma, A\)) can directly be used in the frequency domain too.

[4]:
from dynasor.tools.damped_harmonic_oscillator import acf_velocity_dho, psd_velocity_dho


# fitting longitudinal, in time domain
p0 = [30/radians_per_fs_to_meV, 2/radians_per_fs_to_meV, 1e4]  # initial guesses for parameters w0, Gamma, A
params_L, _ = curve_fit(acf_velocity_dho, t, Clqt, p0)

w0_L = params_L[0] * radians_per_fs_to_meV
gamma_L = params_L[1] * radians_per_fs_to_meV
print(f' Fitting results for C_L(q, t): w0 {w0_L:.2f} meV, gamma {gamma_L:.2f} meV')

# generate resulting dho data, in both time and frequency domain
t_lin = np.linspace(0, t.max(), 100000)
w_lin = np.linspace(0, w.max(), 100000)

Clqt_fit = acf_velocity_dho(t_lin, *params_L)
Clqw_fit = psd_velocity_dho(w_lin, *params_L)
 Fitting results for C_L(q, t): w0 35.00 meV, gamma 4.13 meV

Next, for fitting the tranvserse current correlation we need to employ a sum of two DHOs.

[5]:
def two_acfs(t, w01, gamma1, A1, w02, gamma2, A2):
    acf1 = acf_velocity_dho(t, w01, gamma1, A1)
    acf2 = acf_velocity_dho(t, w02, gamma2, A2)
    return acf1 + acf2


def two_psds(t, w01, gamma1, A1, w02, gamma2, A2):
    psd1 = psd_velocity_dho(t, w01, gamma1, A1)
    psd2 = psd_velocity_dho(t, w02, gamma2, A2)
    return psd1 + psd2

# fitting transverse, in time domain
p0 = [15/radians_per_fs_to_meV, 2/radians_per_fs_to_meV, 1e4,
      30/radians_per_fs_to_meV, 2/radians_per_fs_to_meV, 1e4]
params_T, _ = curve_fit(two_acfs, t, Ctqt, p0)

w0_T1 = params_T[0] * radians_per_fs_to_meV
gamma_T1 = params_T[1] * radians_per_fs_to_meV
w0_T2 = params_T[3] * radians_per_fs_to_meV
gamma_T2 = params_T[4] * radians_per_fs_to_meV
print(f' Fitting results for C_T(q, t): w0 {w0_T1:.2f} meV, gamma {gamma_T1:.2f} meV and '
      f' w0 {w0_T2:.2f} meV, gamma {gamma_T2:.2f}')

# generate resulting dho data, in both time and frequency domain
t_lin = np.linspace(0, t.max(), 100000)
w_lin = np.linspace(0, w.max(), 100000)

Ctqt_fit = two_acfs(t_lin, *params_T)
Ctqw_fit = two_psds(w_lin, *params_T)
 Fitting results for C_T(q, t): w0 16.79 meV, gamma 1.83 meV and  w0 26.33 meV, gamma 1.78

Next, we plot the raw data and resulting fits.

[6]:
fig, axes = plt.subplots(figsize=(5.8, 3.4), dpi=160, nrows=2, ncols=2, sharex='col', sharey='col')

# time domain
ax = axes[0][0]
kwargs_data = dict(ls='', marker='.', markersize=4, alpha=0.5)
ax.plot(t, Clqt, **kwargs_data)
kwargs_fit = dict(alpha=0.7)
ax.plot(t_lin, Clqt_fit, **kwargs_fit)
ax.plot(t_lin, Clqt[0] * np.exp(-t_lin * params_L[1]/2), '--k',
        alpha=0.8, lw=1, label=r'$\exp(-\Gamma t /2)$')
ax.set_ylabel(r'$C_\text{L}(\boldsymbol{q}, t)$')
ax.legend(frameon=False)

ax = axes[1][0]
ax.plot(t, Ctqt, **kwargs_data)
ax.plot(t_lin, Ctqt_fit, **kwargs_fit)
ax.set_ylabel(r'$C_\text{T}(\boldsymbol{q}, t)$')
ax.set_xlabel('Time (fs)')
ax.set_xlim(0, 1500)
#ax.set_ylim(-30, 30)

# frequency domain
ax = axes[0][1]
ax.plot(w * radians_per_fs_to_meV, Clqw, label='Data', **kwargs_data)
ax.plot(w_lin * radians_per_fs_to_meV, Clqw_fit, **kwargs_fit, label='Fit')
ax.set_ylabel(r'$C_\text{L}(\boldsymbol{q}, \omega)$')
ax.annotate('', xy=(w0_L - gamma_L/2 , Clqw_fit.max() / 2.0),
            xytext=(w0_L + gamma_L/2, Clqw_fit.max() / 2.0),
            arrowprops=dict(arrowstyle='<->'))
ax.text(w0_L, 0.6 * Clqw_fit.max()/2, r'$\Gamma$', ha='center')
ax.legend(frameon=False)

ax = axes[1][1]
ax.plot(w * radians_per_fs_to_meV, Ctqw, **kwargs_data)
ax.plot(w_lin * radians_per_fs_to_meV, Ctqw_fit, **kwargs_fit)
ax.set_ylabel(r'$C_\text{T}(\boldsymbol{q}, \omega)$')
ax.set_xlabel('Energy (meV)')
ax.set_xlim(10, 45)

fig.tight_layout()
fig.subplots_adjust(hspace=0)
fig.align_labels(axes)
../_images/tutorials_dho_peak_fitting_11_0.png

Note that, while the fits are carried out in the time domain, the corresponding DHO spectra match the data well in the frequency domain too. Generally, it is a good idea to plot the resulting fit in both the time and frequency domain, regardless of where the fit was performed, as a check of the procedure. In a simple system like this, is should not matter in which domain the fit is performed, but it might be easier to obtain a converged fit in one of the domains when more complex systems are considered.

Cubic BaZrO3#

Additionally, we will consider a more anharmonic system, the cubic phase of BaZrO3 (BZO), with \(S(\boldsymbol{q}, \omega)\) data from this paper. We will analyze the low-frequency octahedral tilt phonon mode at the R-point (\(\boldsymbol{q}=[1.5, 0.5, 0.5]\)), at T = 300 K for three different pressure (0 GPa, 8 GPa, and 15.6 GPa). Note that this phonon mode is related to the phase transition between the cubic and tetragonal phases which occurs at around 16 GPa. The sample objects only contains \(S(\boldsymbol{q}, \omega)\) for this specific q-point.

Note that for overdamped modes the DHO is better represented using two timescales \(\tau_L\) and \(\tau_S\) instead of \(\omega_0\) and \(\Gamma\). These are defined as \begin{equation*} \tau_\text{S,L} = \frac{\tau}{1 \pm \sqrt{1-(\omega_0\tau)^2}}, \end{equation*} where \(\tau=2/\Gamma\).

[7]:
# read data
P_vals =  [0.0, 8.0, 15.6]
data_dict = dict()
for P in P_vals:
    fname = f'BaZrO3_sample_T300_P{P:.1f}.npz'
    sample = read_sample_from_npz(fname)
    data_dict[P] = radians_per_fs_to_meV * sample.omega, sample.Sqw_coh[0]

Next, we visualize the three different spectra.

[8]:
fig, ax = plt.subplots(1, 1, figsize=(3.4, 2.2), dpi=160)

for P, (w, Sqw) in data_dict.items():
    ax.plot(w, Sqw, '-', label=f'P={P} GPa', alpha=0.75)

ax.set_xlabel('Energy (meV)')
ax.set_ylabel(r'$S(\mathbf{q}, \omega)$')
ax.set_xlim(0, 20)
ax.set_ylim(1, 8000)
ax.set_yscale('log')
ax.legend(loc=1, frameon=False)

fig.tight_layout()
../_images/tutorials_dho_peak_fitting_16_0.png

For 0 GPa we see two clear peaks at around 8 meV (octahedral tilt mode) and around 13 meV (acoustic Barium mode). Additionally, there exist multiple modes above 20 meV, but here we focus on the low frequency mode. For 15.6 GPa (close to the phase transition) one can clearly see that the tilt mode exhbits overdamped behaviour.

Next, we fit the corresponding spectra to DHOs, i.e., the fits are performed in the frequency domain.

Note that for 15.6 GPa we obtain \(\Gamma > 2 \omega_0\), meaning that the mode is overdamped.

[9]:
from dynasor.tools.damped_harmonic_oscillator import psd_position_dho

fig, axes = plt.subplots(figsize=(3.4, 3.8), nrows=3, dpi=160, sharex=True)

colors_dict = dict()
colors_dict[0.0] = 'tab:blue'
colors_dict[8.0] = 'tab:orange'
colors_dict[15.6] = 'tab:green'

for ax, (P, (w, Sqw)) in zip(axes, data_dict.items()):

    # fit to DHO
    mask = w <= 12  # only use frequencies up to 12 meV
    p0 = [5.0, 2.0, 100]  # parameters guess
    params, _ = curve_fit(psd_position_dho, w[mask], Sqw[mask], p0=p0)
    w0, gamma, A = params
    print(f'{P:4.1f} GPa : w0= {w0:.2f} meV  gamma= {gamma:.2f} meV')

    ax.text(0.05, 0.82, f'{P:.1f} GPa', transform=ax.transAxes)
    ax.text(0.05, 0.67, rf'$\omega_0$ = {w0:.1f} meV', transform=ax.transAxes)
    ax.text(0.05, 0.52, rf'$\Gamma$ = {gamma:.1f} meV', transform=ax.transAxes)

    # plot
    w_lin = np.linspace(0, 12, 100000)
    S_fit = psd_position_dho(w_lin, *params)
    ax.plot(w, Sqw, '-', lw=4, alpha=0.25, color=colors_dict[P], label='data')
    ax.plot(w_lin, S_fit, '--', lw=1.0, color=colors_dict[P], label='fit')

    ax.set_xlim(0, 12)
    ax.set_ylim(bottom=0.0)

    # annotate roughly FWHM Gamma
    if P == 8.0:
        w_peak = np.sqrt(w0**2 - gamma**2 / 2.0)
        ax.annotate('', xy=(w_peak - gamma/2 , S_fit.max() / 2.0),
                    xytext=(w_peak + gamma/2, S_fit.max() / 2.0),
                    arrowprops=dict(arrowstyle='<->'))
        ax.text(w_peak, 0.6 * S_fit.max() / 2, r'$\Gamma$', ha='center')

axes[1].set_ylabel(r'Dynamic structure factor $S(\mathbf{q}, \omega)$')
axes[-1].set_xlabel('Energy (meV)')
axes[-1].legend(frameon=False)

fig.tight_layout()
fig.subplots_adjust(hspace=0)
fig.align_labels()
 0.0 GPa : w0= 8.99 meV  gamma= 0.82 meV
 8.0 GPa : w0= 6.18 meV  gamma= 1.48 meV
15.6 GPa : w0= 1.66 meV  gamma= 6.17 meV
../_images/tutorials_dho_peak_fitting_18_1.png